Blog
Bilateral Oophorectomy Acog
abnormal uterus shape pregnancy
abnormal uterus bleeding adalah
acute dvt diagnosis
acute bilateral leg edema due to levofloxacin
abnormal uterus growth
acute dvt noac
acute dvt femoral vein
acute dvt guidelines
2
Bilateral Salpingo Oophorectomy Overview
Why When Where Oophorectomy
2
Why When Where Oophorectomy
Oophorectomy For Ovarian Cancer
Acog Recommends Salpingectomy For Ovarian Cancer Prevention
Prophylactic Salpingectomy
Oopherectomy At Hysterectomy
Product Detail
Side Effects And Risks Of Oophorectomy
Pdf Best Practices In Risk Reducing Bilateral Salpingo
Oopherectomy At Hysterectomy
Prophylactic Salpingectomy Wikipedia
Pdf Ovarian Conservation Versus Bilateral Oophorectomy At The
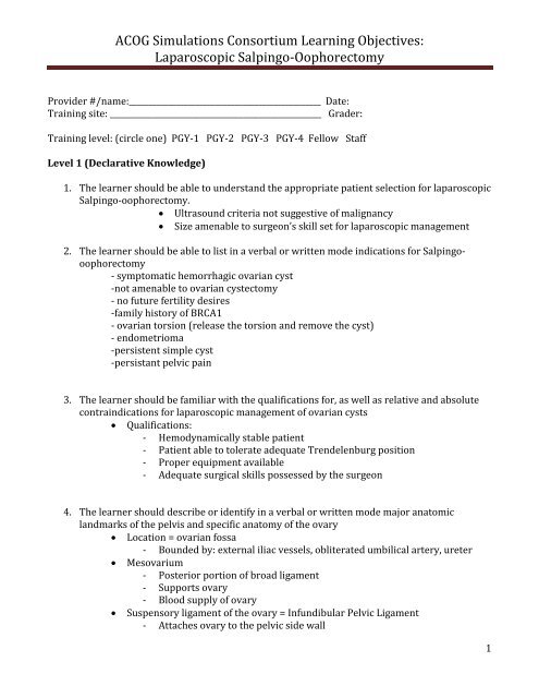
Laparoscopic Salpingo Oophorectomy
Diagnosis And Management Of Endometrial Cancer American Family
Brca Mutation In Ovarian Cancer Testing Implications And
Prophylactic Oophorectomy And Or Hysterectomy Health Plan Of
Https Www Supercoder Com Webroot Upload General Pages Docs Document Mm 0026 Coveragepositioncriteria Prophylactic Oopherectomy Pdf
Source :
pinterest.com
Random Posts
Meaning Of Bilateral Renal Cysts
Lichen Planus Unilateral Or Bilateral
Laparoscopic Bilateral Inguinal Hernia Repair With Mesh Cpt Code
Icd Code For Bilateral Lower Extremity Edema
Incidence Of Unilateral Or Bilateral Hearing Loss
List Of Bilateral Free Trade Agreements
Lymphoma Bilateral Or Unilateral
Lymphedema Bilateral Or Unilateral
Matrilineal Patrilineal And Bilateral Kinship Systems
Low Back Pain Bilateral Leg Pain
Large Bilateral Pulmonary Embolism Icd 10
Laparoscopic Bilateral Ovarian Cystectomy Cpt Code
Improved Bilateral Texture Filtering With Edge Aware Measurement
Large Volume Bilateral Pulmonary Embolism
Laparoscopic Bilateral Salpingo Oophorectomy Cpt
Isolated Bilateral Ventriculomegaly
Laparoscopic Bilateral Salpingectomy Steps
Kekerabatan Bilateral Dan Contohnya
Laparoscopic Bilateral Salpingectomy Cpt Code
Is Bilateral Hip Replacement Common